技術士第一次試験 平成14年度 基礎科目 問題と解答案
平成14年度基礎科目について、私なりに解答を出してみました。
一部、後でインターネットなどで正解を調べたものもありますが、大部分は何の勉強もなしに解いてみたものですので、正解であるかどうかは保証できません。
ただ、参考になるようにと思い、解答決定までのプロセスをそのまま書きました。わからない問題はとんでもない解き方もしていますが、それも含めて参考になればと思います。
(1)設計・計画に関するもの
(2)情報・論理に関するもの

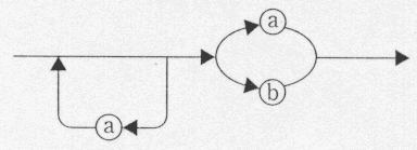
| 図1.整数の加減算式を定義する構文図 | 図2.a,bの文字列を定義する構文図 |
|
|
|
次の文字列のうち、図2の構文図では定義されていないものを選べ。
(1) a
(2) b
(3) ab
(4) ba
(5) aaa
解答案:4
図2の構文図で定義されないものだから、図1やその解説文は読む必要なし。
図2を道順と考えれば、まずaに寄り道する場合があり、その場合はaに寄り道した分岐点より前に戻る。だから何度もaに行くこともあり得る。
その後、aに行くかbに行くかの選択があり、それを通過した後でゴール。
したがって、aは何度も通り得るが、bは1回だけ。またbの後にaに行くことはあり得ない。よって(4)はあり得ない。
※抽象的な図に悩むとダメです。道順などわかりやすいものに例えることがポイント。また、図1やその解説文をいちいち理解しようとしないことも大切です。
(3)解析に関するもの
| 支配方程式:k(d2T/dx2+d2T/dy2)+Q=0,領域Vにおいて | (1) |
| 境界条件:T=0,Vの周辺Sにおいて | (2) |
ここに、(x,y)は2次元直交座標系、Tは温度、kは熱伝導係数、Qは単位体積当たりの発熱率である。
次に、領域Vにおいて既知の関数列Tj,j=1,2,3,・・・・,nを用いて求める関数Tを次のように近似する。
|
(3) |
Tjを試験関数あるいは試行関数と呼び、ajは未知定数である。式(3)を式(1)に代入して残差
![]() |
(4) |
を求める。このとき、もし試験関数が問題の厳密解であれば残差は0となるはずである。しかし、式(3)が近似解であるため一般に残差は0とはならない。そこで重みつき残差法では平均的な意味で残差が0になるようにajを決定するわけである。すなわち、残差Rになんらかの重み関数Wj,j=1,2,3・・・・,nをそれぞれ乗じたものを領域V内で積分し、それらを0とおくのである。このことを式で表現すると
|
(5) |
と書ける。なお、重みつき残渣法の代表であるガラーキン法においては、Wj=Tjである。
上の説明をもとに次の中から誤っているものを選べ。
(1) 式(3)に用いるTjとしては、x,yのべき級数がしばしば用いられる。
(2) 式(3)においてnが大きくなるにつれて解の精度は向上する。
(3) ajは座標(x,y)には無関係である。
(4) 式(5)はajに関するn元連立方程式である。
(5) 重みつき残差法を非線形の微分方程式の近似解法として用いることはできない。
解答案:5
**********皆様からの情報・ご指摘*****aokiさんに情報をいただきました。ありがとうございます。
重みつき残差法の問題です。問題文が長いので、「重みつき残差法」の分からない人はパスしましょう。「重みつき残差法」を知っている人は解答の前だけ読みましょう。大半は「重みつき残差法」の説明であり、必要な箇所は式(3)、式(5)だけですね。
「線形微分方程式」は、「変数分離形」に直すことができ、数学の公式により解くことができる。それに対して、「重み付き残差法」は全ての方程式に使用できる。よって、(5)は誤り。解答:(5)
大変高度な問題であり、簡単に説明できません。以下、極力分かりやすい言葉を選んで記述しました。
(1)・・正しい。
(2)(3)(4)は関連があります。
式(5)はn元連立方程式であり、nが大きいほど連立方程式の解の精度が向上する。このため(2)も正しい。
ajは式(5)の連立方程式の解であり、座標(x、y)とは関係ない。このため(3)も正しい。
**********
※aokiさん、解説ありがとうございます。アドバイス通り、私のような数学苦手人間は避けたほうがいいようですね。

| (1) | |
| (2) | |
| (3) | |
| (4) | |
| (5) |
| (1) | |
| (2) | |
| (3) | |
| (4) | |
| (5) |
(4)材料・化学・バイオに関するもの
| (ア) | (イ) | (ウ) | (エ) | (オ) | |
| (1) | 胚(性)幹 | 体 | 生殖 | 羊 | 老化 |
| (2) | 体 | 胚(性)幹 | 脳 | 羊 | 成熟 |
| (3) | 胚(性)幹 | 体 | 脳 | 豚 | 成熟 |
| (4) | 体 | 胚(性)幹 | 生殖 | 豚 | 老化 |
| (5) | 胚(性)幹 | 体 | 脳 | 羊 | 成熟 |
(5)技術連関
| (ア) | (イ) | (ウ) | (エ) | |
| (1) | 誤 | 正 | 正 | 誤 |
| (2) | 誤 | 誤 | 正 | 正 |
| (3) | 誤 | 正 | 誤 | 正 |
| (4) | 正 | 正 | 誤 | 誤 |
| (5) | 正 | 誤 | 誤 | 正 |
| 影響度 | ||||
| 大 | 中 | 小 | ||
| 生起確率 | 高 | ? | ? | ? |
| 中 | ? | ? | ? | |
| 低 | ? | ? | ? | |
図 リスク・マトリックス(?:判定基準)
(1) 生起確率が高であれば、影響度に関係なく、リスクは高。
(2) 生起確率が高、影響度が中であれば、リスクは高。
(3) 生起確率が中、影響度が中であれば、リスクは低。
(4) 生起確率が低、影響度が中であれば、リスクは中。
(5) 生起確率が低であれば、影響度に関係なく、リスクは低。
解答案:2
題意に従い、高中低3ランクでリスク判定する表を埋めれば下表のとおりで、選択肢で表に合致しているのは(2)のみ。
|
|
影響度 |
|||
|
大 |
中 |
小 |
||
|
生起確率 |
高 |
高 |
高 |
中 |
|
中 |
高 |
中 |
低 |
|
|
低 |
中 |
低 |
低 |
|
※リスクは毎年出ています。リスクの定義、リスクマトリクスは知っておきましょう。
リスクに関する基礎知識導入には、Webラーニングプラザの総合技術監理コーナーがお勧めです。将来の技術士総監部門受験にも役立ちます。
※おおむね問題と同じ条件での定性的なリスク評価図は右図のようなものです。
ここで「リスク削減領域」をリスク高、それ以外をリスク中・リスク小とします。
単純にリスク保有(図の緑の領域)の6マスをリスク中・小それぞれ3マスづつに分けるなら、対角線上の3マスが「リスク中」となります。