技術士第一次試験 平成15年度 基礎科目 問題と解答案
| 基礎科目解答案一覧 | |||||||||||||
| 第1群:設計・計画 | 第2群:情報・論理 | 第3群:解析 | 第4群:材料・化学・バイオ | 第5群:技術連関 | |||||||||
| 1-1-1 | 5 | 1-2-1 | 4 | 1-3-1 | 3 | 1-4-1 | 5 | 1-5-1 | 3 | ||||
| 1-1-2 | 4 | 1-2-2 | 2 | 1-3-2 | 4 | 1-4-2 | 1 | 1-5-2 | 4 | ||||
| 1-1-3 | 4 | 1-2-3 | 1 | 1-3-3 | ★ | 1-4-3 | 5 | 1-5-3 | 3 | ||||
| 1-1-4 | 2 | 1-2-4 | 3 | 1-3-4 | ★ | 1-4-4 | 1 | 1-5-4 | 1 | ||||
| 1-1-5 | 2 | 1-3-5 | 4 | 1-4-5 | 4 | 1-5-5 | 4 | ||||||
| 1-4-6 | 1 | 1-5-6 | 3 | ||||||||||
| 1-4-7 | 3 | 1-5-7 | 1 | ||||||||||
(1)設計・計画に関するもの
![]() |
|
|||||||||||||||||
| A国がOUT | B国がOUT | C国がOUT | |
| 都市1 | Bに。5→25 | Aのまま | Aのまま |
| 都市2 | Bのまま | Cに。10→15 | Bのまま |
| 都市3 | Cのまま | Cのまま | Bに。12→20 |
| コストアップ | +20 | +5 | +8 |
(2)情報・論理に関するもの
(3)解析に関するもの
![]() |
|

| (1) |
|
| (2) |
|
| (3) |
|
| (4) |
|
| (5) |
|
---------
出題ミス(ミスプリ)により、問題選択者全員を正解とする処置がとられました。
もしミスプリがなければ、解答案:1
---------
**********皆様からの情報・ご指摘*****Nagaseさんに解説いただきました。ありがとうございます。
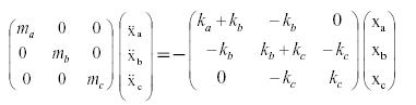
先ず、力と加速度の基本的な関係式を思い出す。
F=Mα ・・・・・・(0)
(α:加速度、今回はXで表している。)
この問題において、Fはばねの伸縮によって生じている力である。
中立状態から質点が右(+方向)に変位すると、質点の左側のばねは「+方向へ伸ばされ」て「−方向へ縮もうとする」ので、そのため質点には−方向の力がかかる。右側のばねは「+方向へ縮められ」るために伸びようとして同じく−方向の力を質点にかける。よって、ばねから質点が受ける力はばねの伸び縮みとは逆向きとなるから、
F=−KxT (xT:変位)
となる。従って、
MX+KxT=0 ・・・・(1)
然し、この場合は問題中の3式に形を合わせ、
MX=―KxT・・・・(2)
の形にした方が理解しやすい。
3式中の第一式は、
maXa=−(ka+kb)xa+kbxb
これは更に右辺の順番を書き換えて、
maXa=−kaxa−kb(xa−xb)
とすると理解しやすい。右辺第一項は、左のばねの伸びに伴い質点maが受ける力である。ばねの左端は固定されているので、右端の変位がそのままばねの伸びを示す。
第二項は、中央のばねから受ける力であるが、中央のばねは両端が変位するので、ばね自体の伸びは変位の差で表され、両端の変位が等しければ単なる移動であって伸び縮みは生じていないことになるので、第二項の値は0となる。 第二式、第三式も同様に書き換えて考える。
ただし、この設問の仕方は、既に関係式が与えられているので、力学の問題と言うよりは行列の掛算の問題であるから、以上の考察は意味を理解して応用力を身につけるためのものである。
実際に(2)式を行列の形にしてみると、

となる。右辺の前に−が付いているのに注意。又、実際の設問では変位ベクトルを行ベクトルで表示していたが、列ベクトルに直さないと右から掛けることが出来ないので注意を要する。
**********
(4)材料・化学・バイオに関するもの
| (ア) | (イ) | (ウ) | (エ) | (オ) | |
| (1) | 増加 | 活性化エネルギー | 低下 | 活性中心 | 特異性 |
| (2) | 低下 | 活性化エネルギー | 増加 | 調節部位 | 恒常性 |
| (3) | 増加 | 運動エネルギー | 増加 | 活性中心 | 恒常性 |
| (4) | 低下 | 運動エネルギー | 低下 | 調節部位 | 特異性 |
| (5) | 変化 | 化学エネルギー | 増加 | 活性中心 | 恒常性 |
(5)技術連関