技術士第一次試験 平成21年度 基礎科目
問題・正解・解説
※技術士会公表の正解について、臨時掲示板での情報から解説を作成しました。
異論や情報などありましたら、メールにてお願いします。
| 基礎科目正答一覧 | |||||||||||||
| 第1群:設計・計画 | 第2群:情報・論理 | 第3群:解析 | 第4群:材料・化学・バイオ | 第5群:技術連関 | |||||||||
| 1-1-1 | 3 | 1-2-1 | 5 | 1-3-1 | 2 | 1-4-1 | 1 | 1-5-1 | 4 | ||||
| 1-1-2 | 5 | 1-2-2 | 3 | 1-3-2 | 1 | 1-4-2 | 4 | 1-5-2 | 2 | ||||
| 1-1-3 | 2 | 1-2-3 | 5 | 1-3-3 | 5 | 1-4-3 | 3 | 1-5-3 | 4 | ||||
| 1-1-4 | 3 | 1-2-4 | 4 | 1-3-4 | 4 | 1-4-4 | 4 | 1-5-4 | 2 | ||||
| 1-1-5 | 4 | 1-2-5 | 2 | 1-3-5 | 1 | 1-4-5 | 3 | 1-5-5 | 1 | ||||
1群 設計・計画に問するもの (全5問題から3問題を選択解答)
1-1-1 ある装置において、平均故障間隔MTBF (Mean Timo Between Failurcs)が1,000時間、平均修復時間MTTR (Mean
Time To Repair)が200時間のとき、この装置のアベイラビリティ (稼働率)を求め、最も近いものを(1)〜(5)の中から選べ。
(1)0.67 (2)0.80 (3)0.83 (4)0.90 (5)0.98
正解は3
単純に1000/(1000+200)≒0.83。
1-1-2 人に優しい設計に関する次の記述の[ア]〜[エ]に入る語句の組合せとして、適切なものを(1)〜(5)の中から選べ。
日本における65歳以上の人口は、昭和25(1950)年には総人口の5%に満たなかったが、昭和45(1970)年に7%を超え、国連の報告書において[ア]社会と定義された水準となった。また、平成6 (.1994)年には14%を超えて[イ]社会となった。さらに、平成19(2007)年には21%を超え、生活に障壁を感じないよう対応をとることが必要となってきている。
そのため、障害のある人や高齢者などに主な焦点を当て、そうした方々が社会生活をしていく上で障壁となるものを除去するとともに、新しい障壁を作らないことが必要である。すなわち、物理的な障壁のみならず、社会的、制度的、心理的なすべての障壁に対処するという考え方で施設や製品などを設計する[ウ]と、誰にとっても利用しやすくするという考え方で施設や製品などを設計する[エ]が必要であり、この両方に基づく取組みを併せて推進することが求められている。
| (ア) | (イ) | (ウ) | (エ) | |
| (1) | 前期高齢 | 後期高齢 | バリアフリーデザイン | ユニバーサルデザイン |
| (2) | 後期高齢 | 前期高齢 | ユニバーサルデザイン | バリアフリーデザイン |
| (3) | 高齢 | 高齢化 | バリアフリーデザイン | ユニバーサルデザイン |
| (4) | 高齢 | 超高齢 | ユニバーサルデザイン | バリアフリーデザイン |
| (5) | 高齢化 | 高齢 | バリアフリーデザイン | ユニバーサルデザイン |
正解は5
高齢化社会 高齢化率7%〜14%
高齢社会 高齢化率14%〜21%
障壁となるものを除去するデザイン→バリアフリーデザイン
差異、障害・能力の如何を問わずに利用することができるデザイン→ユニバーサルデザイン
1-1-3 ある材料に生ずる応力Sがその材料の強度Rより小さくなるように設計する。ここで、Z=R-Sと定義する。いま、強度Rが平均μR、分散σ2Rの正規分布に、応力Sが平均μS、分散σ2Sの正規分布に従う互いに独立な確率変数とみなせるとき、Zの記述として正しいものを(1)〜(5)の中から選べ。
(1) Zは平均(μR−μS)、標準偏差√(μ2R−μ2S)の正規分布に従う。
(2) Zは平均(μR−μS)、標準偏差√(μ2R+μ2S)の正規分布に従う。
(3) Zは平均(μS−μR)、標準偏差(μ2R−μ2S)の正規分布に従う。
(4) Zは平均(μR−μS)、標準偏差(μ2R+μ2S)の正規分布に従う。
(5) Zは平均(μS−μR)、標準偏差√(μ2R−μ2S)の正規分布に従う。
正解は2
統計学の基礎的問題です。標準偏差は分散の1/2乗です。
1-1-4 信頼性設計に関する(ア)〜(エ)の記述について、それぞれの正誤の組合せとして最も適切なものを(1)〜(5)の中から選べ。
(ア)ディペンダビリティとは、アベイラビリティ性能及びこれに影響を与える要因、すなわち信頼性性能、保全性性能及び保全支援能力を記述するために用いられる包括的な用語である。
(イ)フォールトの木解析(Fault Trco Analisys:FTA)とは、下位アイテム又は外部事象、若しくはこれらの組合せのフォールトモードのいずれが、定められたフォールトモードを発生させ得るかを決めるための、フォールトの木形式で表された解祈をいう。
(ウ)冗長系とは、システムを構成する一部が故障してもシステム全体の機能が維持できるような系を呼び、代表的なものに、直列系、m/n冗長系、待機冗長系がある。
(エ)フォールトモード・影響解析 (Failuro Modes and Effects Analysis:FMEA)とは、あるアイテムにおいて、各下位アイテムに存在し得るフォールトモードの調査、並びにその他の下位アイテム及び元のアイテム、さらに、上位のアイテムの要求機能に対するフォールトモードの影響の決定を含む定性的な信頼性解析手法をいう。
| (ア) | (イ) | (ウ) | (エ) | |
| (1) | 正 | 正 | 正 | 正 |
| (2) | 正 | 正 | 正 | 誤 |
| (3) | 正 | 正 | 誤 | 正 |
| (4) | 正 | 誤 | 正 | 正 |
| (5) | 誤 | 正 | 正 | 正 |
正解は3
直列系は冗長系ではありません。
1-1-5 旬の食材を原産地から消費地まで輸送することを計画する。この輸送に要する時間(輸送時間)がx時間のとき、輸送費は輸送時間に反比例し、50/x万円、一方、輸送時間の増加による旬の食材の商品価値の低下額は200(1−1/(x+2))万円とする。輸送にかかる総費用(輸送費と商品価値の低下額の合計)を最小にするには輸送時間を何時間に設定したらよいか、正しいものを(1)〜(5)の中から選べ。
(1) 0.5時間 (2) 1.0時間 (3) 1.5時間 (4) 2.0時間 (5) 2.5時間
正解は4
この手の問題は代入計算が一番てっとりばやいですね、
線形計画(コスト最小化)の問題です。こちらで解説しています。
損失見込み額(低下額)200(1-1/(x+2))です。輸送費は、50/xです。
よって総コストは、50/x+200(1−1/(x+2))万円となります。
これに選択肢を当てはめ計算しますが、こういうときはまず両端を代入してみます。
(x=0.5の場合) 50/x+200(1−1/(x+2))=220
(x=2.5の場合) 50/x+200(1−1/(x+2))=175.5
次に真ん中を代入します。
(x=1.5の場合) 50/x+200(1−1/(x+2))=176.2
これで(4)か(5)が最小であることが推定できます。
(x=2.0の場合) 50/x+200(1−1/(x+2))=175
以上より、正解は(4)です。差がきわどいので電卓がないと厳しい計算ですね。
2群 情報・論理に関するもの (全5問題から3問題を選択解答)
1-2-1 次の表現形式で表現することができる数値として、誤っているものを(1)〜(5)の中から選べ。
数値 ::= 整数|小数|整数 小数
小数 ::= 小数点 数字列
整数 ::= 数字列|符号 数字列
数字列 ::= 数字|数字列 数字
符号 ::= +|−
小数点 ::= .
数字 ::= 0|1|2|3|4|5|6|7|8|9
ただし、上記表現形式において、::=は定義を表し、|はORを示す。
(1) -19.1 (2) .52 (3) -37 (4) 4.35 (5) -.125
正解は5
数字列は数字 or 数字列 数字、数字が0〜9のいずれか。
これより数字列はn桁(n≧1の整数)の数字のみの羅列を表す事ができる。
(ex.数字列=0、4、135、556174139 など)
選択肢が問題の条件に合うかどうかの検討。
適当に括弧で見やすく括ると
(1) -19.1は(数値)→(「整数」 『小数』)→(「符号 数値列」 『小数点 数字列』)よりOK。
(2) .52は(数値)→(小数)→(小数点 数字列)よりOK。
(3) の-37は(数値)→(整数)→(符号 数値列)よりOK。
(4) の4.35は(数値)→(「整数」 『小数』)→(「数字列」 『小数点 数字列』)よりOK。
(5) の-.125は与えられた表現形式では表現できない。
(もし『数値=整数or小数or整数 小数』以外に、例えば『数値=符号 小数(=小数点 数字列)』も定義されていたら表現できた。)
1-2-2 インターネットのセキュリティと暗号化に関する記述のうち、正しいものを(1)〜(5)の中から選べ。
(1) 公開鍵暗号方式では、公開鍵だけが必要である。
(2) 携帯常話はウイルスに感染しないので、インターネットへのアクセスは安全である。
(3) 公開鍵基盤における公開鍵の所有者を保証する方法の1つとして、認証局を利用するものがある。
(4) デジタル署名では、メッセージに対するダイジェストを公開鍵で暗号化することで、メッセージの改ざんを検出できる。
(5) 無線LANの利用において、WEP(Wired Equivalent Privacy)方式を用いた暗号化によって完全に盗聴を防ぐことができる。
正解は3
(1)・・・・× 公開鍵とペアの秘密鍵も必要
(2)・・・・× 携帯電話のサイトもウィルスがいますし、携帯電話もPCの一種です
(4)・・・・× デジタル署名は署名者しか知らない秘密鍵で暗号化します
(5)・・・・× 以前からWEPの脆弱性が指摘されています
1-2-3 基数変換に関する次の記述の[ア]〜[ウ]に入る数値の組合せとして、正しいものを(1)〜(5)の中から選べ。
10進数の0.8を小数部4桁の2進数で表せば[ア]となる(小数部5桁目以降は切り捨て)。この[ア]を0.5倍した結果は[イ]となる。これを10進数に変換すると[ウ]となる。
| (ア) | (イ) | (ウ) | |
| (1) | 0.1010 | 0.0110 | 0.4 |
| (2) | 0.1010 | 0.0101 | 0.375 |
| (3) | 0.1100 | 0.0101 | 0.4 |
| (4) | 0.1100 | 0.0110 | 0.4 |
| (5) | 0.1100 | 0.0110 | 0.375 |
正解は5
アの数値について;0.1010(2進法)=1/2+1/8=0.625、0.1100(2進法)=1/2+1/4=0.75だから0.8に近いのは0.1100。これで選択肢(1)、(2)は除外。
0.1100(2進法)を0.5倍=1/2倍だから右に1つシフトして0.01100(2進法)。
小数部5桁目以降は切り捨てだから0.0110(2進法)。これで選択肢(3)は除外。
0.0110(2進法)を10進法に変換すると1/4+1/8=0.375。よって(5)。
1-2-4 次の記述の[ア]〜[ウ]に入る数値の組合せとして、正しいものを(1)〜(5)の中から選べ。
コンピュータで大文字のアルファベット26文字を表すためには少なくとも[ア]ビットの情報量が必要である。同様に、0から255までの整数を表すためには少なくとも[イ]ビット、昭和56年10月に告示された常用漢字表の本表の漢字欄に記載されている1,945文字の漢字を表すためには少なくとも[ウ]ビットの情報量がそれぞれ必要である。
| (ア) | (イ) | (ウ) | |
| (1) | 4 | 7 | 11 |
| (2) | 4 | 8 | 10 |
| (3) | 5 | 7 | 10 |
| (4) | 5 | 8 | 11 |
| (5) | 5 | 8 | 10 |
正解は4
(ア)について、4ビット=24=16<26でNG、5ビット=25=32>26でOK。
(イ)について、7ビット=27=128<255でNG、8ビット=28=256>255でOK。
(ウ)について、10ビット=210=1024<1945でNG、11ビット=211=2048>1945でOK。
電卓で「2」「×」「=」で22を算出したあと、以後「×」「=」を繰り返せば23、24とどんどん上がっていきます。
1-2-5 スタックとは、次に取り出されるデータ要素が最も新しく記憶されたものであるような方法でデータを順序付ける記憶装置である。スタックに対する操作を次のとおり定義する。
● 「PUSH n」スタックに整数データnを挿入する
● 「POP」スタックから整数データを取り出す
空のスタックに対し、PUSH 1、PUSH 2、PUSH 3、PUSH 4、POP、POP、PUSH 5、POPの操作を順に行った。統いてPOPの操作を行った場合、取り出される整数データとして正しいものを(1)〜(5)の中から選べ。
(1) 1 (2) 2 (3) 3 (4) 4 (5) 5
正解は2
スタック:次に取り出されるデータ要素が最も新しく記憶されたものであるような方法でデータを順序付ける記憶装置。
「PUSH n」:スタックに整数データnを挿入。
「POP」:スタックから整数データを取り出す。
次に取り出されるデータ=最も新しい数字。
挿入されるデータを順番に右に置いていくと
PUSH1で1
さらにPUSH2で12
さらにPUSH3で123
さらにPUSH4で1234
POPでスタックからデータを取り出す。→スタック=次に取り出されるデータが最も新しい数字、
だからPOPをすると1234から一番新しく追加された4を取り出して123
さらにPOPで123から1番新しく追加された3を取り出して12
ここにPUSH5で5を挿入するので125
POPで5を削除して12
ここで問題のPOPを行うので12から2を削除することになる。
3群 解析に関するもの (全5問題から3問題を選択解答)
1-3-1 比熱を一定と仮定した理想気体が可逆断熱変化する場合について、一般的に成立する式として最も適切なものを(1)〜(5)の中から選べ。なお、P、V、T、κはそれぞれ、圧力、体積、温度、比熱比とする。
(1) PV^κ-1=一定
(2) TV^κ-1=一定
(3) PV^κ+1=一定
(4) PT^κ=一定
(5) TV^κ=一定
正解は2
PV=mRT → P=mRT/V を断熱変化の式、PV^k=Const.に代入するとVの次数が一つさがり、TV^(k-1)=Const.となります。
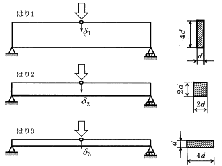
1-3-2 下図に示すように、長さが同じで同一の断面積4d^2を有し、断面形状が異なる3つの単純支持ばりがある。はりの中央に同一の荷重を鉛直下方に負荷したとき、はり1、はり2、及びはり3の鉛直方向のたわみはそれぞれδ1、δ2、及びδ3であった。これらのたわみの大小関係について、正しいものを(1)〜(5)の中から選べ。ただし、はりは同一の等方性線形弾性侶(からなり、はりの断面は荷重を負荷した前後で平而を保ち、断面形状は荷重を負荷した前後で変わらず、また、はりに生ずるせん断変形、及びはりの自重は無視する。

(1)δ1<δ2<δ3
(2)δ1<δ3<δ2
(3)δ1=δ3<δ2
(4)δ2<δ1=δ3
(5)δ1<δ2<δ3
正解は1
計算するまでもなく感覚的にわかります。
1-3-3 下図に示すように、直径D、長さLの丸棒の左端を完全に固定し、自由端面において右方向に一様な強制変位uを与えた。丸棒をヤング率Eの等方性線形弾性体として扱い、微小変形を仮定するとき、丸棒に蓄えられるひずみエネルギーとして最も適切なものを(1)〜(5)の中から選べ。なお、円周率をπとし、丸棒の自重は無視する。

(1) 1/2(Eu^2)/L
(2) (πD^2Eu^2)/L
(3) 1/2(πD^2Eu^2)/L
(4) 1/4(πD^2Eu^2)/L
(5) 1/8(πD^2Eu^2)/L
正解は5
フックの法則より
σ=Eε
F/A=E・ΔL/L
F=(E・A/L)・ΔL→F=kxに当てはめると
k=E・A/L
A=πD^2/4より
k=πD^2・E/4L
エネルギーU=1/2kx^2より
U=πD^2Ex^2/8L
1-3-4 2次元直交座標系(x、y)におけるベクトルをV=(Vx、Vy)=(y^2、x+y)とする。このとき関数rotV=∂Vx/∂y−∂Vy/∂xの、点(3、2)における値を(1)〜(5)の中から選べ。
(1) (2y、1) (2) (4、1) (3) (6、1) (4) 3 (5) 5
正解は4
∂Vx/∂y=2y
∂Vy/∂x=1
rotV=2y-1=3
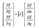
1-3-5 座標(x、y)と変数ζ、ηの間には、
x=x(ξ、η)
y=y(ξ、η)
の関係があるとする。このとき、関数f(x、y)のx、yによる偏微分とξ、ηによる偏微分は次式によって関連付けられる。

ここに[J]はヤコビ行列と呼ばれ、ここでは2行2列の行列となる。[J]のi行j列成分をJijと表すとき、正しい表現を(1)〜(5)の中から選べ。
(1) J11=∂x/∂ξ,J12=∂y/∂ξ,J21=∂x/∂η,J22=∂y/∂η
(2) J11=∂x/∂ξ,J12=∂x/∂η,J21=∂y/∂ξ,J22=∂y/∂η
(3) J11=∂y/∂ξ,J12=∂x/∂ξ,J21=∂y/∂η,J22=∂x/∂η
(4) J11=∂y/∂ξ,J12=∂y/∂η,J21=∂x/∂ξ,J22=∂x/∂η
(5) J11=∂x/∂ξ,J12=J21=∂x/∂η,J22=∂y/∂η
正解は1
4群 材料・化学・バイオに関するもの (全5問題から3問題を選択解答)
1-4-1 ハロゲンに関する(ア)〜(エ)の記述について、正しいものの組合せを(1)〜(5)の中から選べ。
(ア)ハロゲン原子の電気陰性度は大きいものからF、Cl、 Br、Iの順である。
(イ)ハロゲン分子の酸化力は強いものからF2、Cl、Br2、I2の順である。
(ウ)ハロゲン化水素の水溶液の酸性は強いものからHF、HCl、 HBr、HIの順である。
(エ)ハロゲン化水素の沸点は高いものからHF、 HCl、HBr、 HIの順である。
(1) ア、イ (2) ア、ウ (3) イ、ウ (4) イ、エ (5) ウ、エ
正解は1
(ウ)HFは弱酸、その他は強酸でHI>HBr>HCl>>HFなので×。
(エ)分子量大きい>分子間力大きい>ハロゲン化水素の沸点が高い。
ただし、HFのみ水素結合が絡むので特異的に沸点が大きい。
HF>>HI>HBr>HCl。よって×。
1-4-2 25℃、1.013×10^5Paにおける一酸化炭素、二酸化炭素、水の生成熱は次の熱化学方程式で与えられる。
C(黒鉛)+1/2O2(気)=CO(気)+111kJ
C(黒鉛)+O2(気)=CO2(気)+394kJ
H2(気)+1/2O2(気)=H2O(液)+286kJ
これらの熱化学方程式から25℃、1.013×10^5Paでの(1)〜(5)の反応における反応熱を求めたとき、発熱反応であるものを(1)〜(5)の中から選べ。
(1) CO(気)+H2O(液)→H2(気)+CO2(気)
(2) CO2(気)→CO(気)+1/2O2(気)
(3) C(黒鉛)+CO2(気)→2CO(気)
(4) CO(気)+H2(気)→C(黒鉛)+H2O(液)
(5) C(黒鉛)+2H20(液)→2H2(気)+CO2(気)
正解は4
CO(気)の分解に-111KJ
H2O(液)の結合に+286kJ
286-111=175kJの発熱反応
1-4-3 環境負荷の低減に役立つと期待されている下記の(ア)〜(エ)の実用化されている技術に関係の深い物質の組合せとして、適切なものを(1)〜(5)の中から選べ。
(ア)太陽電池 (イ)光触媒 (ウ)バイオマスプラスチック (エ)燃料電池
| (ア) | (イ) | (ウ) | (エ) | |
| (1) | リチウム | 酸化チタン | ポリ乳酸 | 鉛 |
| (2) | シリコン | 酸化カルシウム | ポリ乳酸 | 鉛 |
| (3) | シリコン | 酸化チタン | ポリ乳酸 | 白金 |
| (4) | リチウム | 酸化カルシウム | ポリ酢酸ビニル | 白金 |
| (5) | シリコン | 酸化チタン | ポリ酢酸ビニル | 鉛 |
正解は3
チタンの光触媒はよく知られています。シリコンと白金がポイントですね。
1-4-4 金属の変形に関する次の(A)、(B)の記述の[ア]〜[エ]に入る語句の組合せとして、適切なものを(1)〜(5)の中から選べ。
(A)多くの金属は室温下では変形が進むにつれて[ア]が増加し、[イ]する。[イ]した金属を加熱すると、増加した[ア]が減少し、加工する前の強度に近づく。増加した[ア]の減少を目的とした熱処理を[ウ]という。
(B)一定の応力あるいは荷重のもとで、時間とともに塑性変形が進行する現象を[エ]とよぶ。
| (ア) | (イ) | (ウ) | (エ) | |
| (1) | 格子欠陥 | 加工軟化 | 焼なまし | クリープ |
| (2) | 格子欠陥 | 加工硬化 | 焼もどし | 時効 |
| (3) | 完全結晶 | 加工軟化 | 焼もどし | クリープ |
| (4) | 格子欠陥 | 加工硬化 | 焼なまし | クリープ |
| (5) | 完全結晶 | 加工硬化 | 焼もどし | 時効 |
正解は4
(エ)は明らかにクリープ、変形すると針金の曲げ伸ばしの後のように硬化します。これは格子欠陥が生じるためです。
というか、「聞いたことがある言葉」を並べると自然と(3)になります。
1-4-5 植物や動物のクローン作成技術に関する次の記述の[ア]〜[エ]に入る語句の組合せとして、適切なものを(1)〜(5)の中から選べ。
植物の場合、[ア]であるオーキシン及びサイトカイニンを高濃度に含む培地で、根や葉の一部を培養すると[イ]と呼ばれる不定形の未分化な細胞塊が得られる。次に、[ア]の組成を変えて[イ]を培養すると再分化し、元の植物と同じ遺伝情報をもつクローンが得られる。
一方、ほ乳類の場合、植物のように分化した細胞の培養を行うだけでは個体をつくることはできない。あらかじめ[ウ]を除去した[エ]に体細胞から取り出した[ウ]を移植して培養した後、母胎に入れることによってクローンを作成する。このようにしてつくられたクローンを体細胞クローンと呼ぶ。
| (ア) | (イ) | (ウ) | (エ) | |
| (1) | 植物ホルモン | プロトプラスト | 核 | 卵原細胞 |
| (2) | アミノ酸 | プロトプラスト | 胚 | 卵原細胞 |
| (3) | 植物ホルモン | カルス | 核 | 未受精卵 |
| (4) | アミノ酸 | カルス | 胚 | 卵原細胞 |
| (5) | 植物ホルモン | プロトプラスト | 核 | 未受精卵 |
正解は3
カルス形成の方法の一例として、植物体の一部を切り取り、植物ホルモンのオーキシンとサイトカイニンが適当な濃度で含まれた培地上で培養することが挙げられる。
5群 技術連関 (全5問題から3問題を選択解答)
1-5-1 平成20年版電気事業便覧によれば、平成19年度における日本の総発電電力量 (電気事業川)に占める再生可能エネルギー発電電力量の比率はどのくらいか。最も近いものを(1)〜(5)の中から選べ。
(1) 50% (2) 32% (3) 16% (4) 8% (5) 1%
正解は4
単なる知識問題ですが、よく知られた数字です。
1-5-2 環境保全のための対策技術に関する記述として、最も不適切なものを(1)〜(5)の中から選べ。
(1) 産業廃棄物の管理型処分場では、環境保全対策として遮水工や浸出水処理設備を設けることなどが義務付けられている。
(2) 下水処理の工程は一次処理から三次処理に分類できるが、活性汚泥法などによる生物処理は一般般的に一次処理に分類される。
(3) 悪臭は感覚公害なので、発生源において煙突の排出口を高くするなどして大気中での拡散を促し、着地濃度を低くさせることで臭いを低減する対策も有効な場合がある。
(4) 汚染土壌の対策技術としては、化学的作用や生物学的作用等を用いた様々な技術があるが、土壌汚染対策法に基づいて実施された対策では掘削除去の実績が多い。
(5) ごみ焼却施設におけるダイオキシン類対策においては、炉内の温度管理や滞留時間確保等による完全燃焼、及びダイオキシン類の再合成を防ぐための排ガスの急冷などが有効である。
正解は2
水処理で一次処理は沈殿、スクリーンなど。二次処理は活性汚泥処理、回転円板など。三次処理は別名高度処理とも言い、脱窒、脱りん、活性炭吸着などを言います。
1-5-3 地球温暖化防止に関して国際的に合意された京都議定書に関する次の記述の[ア]〜[オ]に入る語句の組合せとして、正しいものを(1)〜(5)の中から選べ。
1997年に京都で開催された[ア]で採択された気候変動枠組条約の議定書であり、締結した先進国等(正確には附属書T国)に対し、2008〜2012年の第一約束期間における温室効果ガスの排出量を[イ]年比の数値目標に基づいて削減することを義務付けている。また、削減数値目標を達成するために京都メカニズムを導入し、その中で[ウ]と[エ]が共同で温室効果ガス削減プロジェクトを[エ]において実施し、そこで生じた削減分の一部を[ウ]がクレジットとして得て、自国の削減量に充当できる仕組みである[オ]を導入した。
(1) COP 3 2008 途上国 先進国 共1司実施(JI)
(2) COP 7 1997 先進国 途上国 クリーン開発メカニズム(CDM)
(3) COP 7 1990 途上国 先進国 排出量取引
(4) COP 3 1990 先進国 途上国 クリーン開発メカニズム(CDM)
(5) COP 3 2008 先進国 途上国 排出量取引
正解は4
[イ][ウ][エ]あたりは常識的というかよく知られている内容ですね。
1-5-4 次の(ア)〜(エ)の記述は保全に関する語句の説明である。説明された語句の組合せとして適切なものを(1)〜(5)の中から選べ。ただし、設備や機械などの対象をアイテムと呼ぶ。
(ア)アイテムの機能の1つ又は幾つかを停止又は低下させた状樵で行う保全
(イ)予定の時間間隔で行う予防保全
(ウ)フォールト発見後、アイテムを要求機能遂行状態に修復させるために行われる保全
(エ)アイテムのいずれの機能も停止又は低下させないで行う保金
| (ア) | (イ) | (ウ) | (エ) | |
| (1) | 機能維持保全 | 定期保全 | 事後保全 | 機能影響保全 |
| (2) | 機能影響保全 | 定期保全 | 事後保全 | 機能維持保全 |
| (3) | 機能影響保全 | 経時保全 | 事後保全 | 機能維持保全 |
| (4) | 機能影響保全 | 時間計画保全 | 予防保全 | 機能維持保全 |
| (5) | 機能維持保全 | 経時保全 | 予防保全 | 機能影響保全 |
正解は2
(ア)と(エ)は言葉の感覚でわかると思います。また(ウ)も「フォールト発見後」とあることからわかるでしょう。これで少なくとも2択になります。
定期保全は「予定の時間間隔で行う予防保全」、経時保全は「アイテムが予定の累積作動時間に達したとき、行う予防保全」です。
1-5-5 次の(ア)〜(オ)の技術史上の著名な業績を年代の古い順から並べたものとして、正しいものを(1)〜(5)の中から選べ。
(ア)トーマス・ニューコメンによる大気圧機関の発明
(イ)ガリレオ・ガリレイによる天体望遠鏡を用いた天体観測
(ウ)ジェームズ・ワットによるワット式蒸気機関の発明
(エ)ウォーレス・カロザースによるナイロンの発明
(オ)チャールズ・ウィルソンによる霧箱の発明
(1) イ−ア−ウ−オ−エ
(2) イ−ウ−ア−オ−エ
(3) イ−ア−ウ−エ−オ
(4) ウ−ア−イ−オ−エ
(5) ウ−イ−ア−エ−オ
正解は1
(ア)トーマス・ニューコメンによる大気圧機関の発明 1712年
(イ)ガリレオ・ガリレイによる天体望遠鏡を用いた天体観測 1608年
(ウ)ジェームズ・ワットによるワット式蒸気機関の発明 1769年
(エ)ウォーレス・カロザースによるナイロンの発明 1935年
(オ)チャールズ・ウィルソンによる霧箱の発明 1897年
最古の(イ)と最新の(エ)については感覚でわかるのではないでしょうか。あとは大気圧機関→蒸気機関の順序でしょうか。