技術士第一次試験 平成15年度 共通科目(化学) 解答案
第一次試験過去問題Topへ
- ウラン同位体の1つ、235U半減期7.038×108年でα壊変する。アルファ壊変後に残る核種として正しいものは、次のうちどれか。
(1) 231Ra (2) 231Th (3) 233Pa (4) 238U (5) 239Pu
---------
推定正解:5
---------
- 第一イオン化ポテンシャルの一番大きな原子は、次のうちどれか。
(1) Li (2) O (3) Ne (4) P (5) Ar
---------
推定正解:3
---------
- 極性をもたない分子は、次のうちどれか。
(1) BF3 (2) NH3 (3) H2O (4) C2H5OH (5) SO2
---------
推定正解:5
---------
- 次に示した10種の化学種のうち、ルイス酸はいくつあるか。
H+ H2O OH- Na+ Cl-
NH3 CO Hg2+ Fe3+ BF3
(1) 3 (2) 4 (3) 5 (4) 6 (5) 7
---------
推定正解:2
---------
- 不対電子をもつ化合物は、次のうちのどれか。
(1) SiO2 (2) KOH (3) CO2 (4) NH3 (5) NO
---------
推定正解:5
---------
- 次に示すのは、すべて岩塩型(NaCl型)結晶構造を持つイオン性結晶である。これらのうち、格子エネルギーの一番大きなものはどれか。
(1) LiF (2) NaCl (3) KCl (4) MgO (5) CaO
---------
推定正解:1
---------
- 正八面体6配位構造の金属錯体CoCl3(NH3)3の立体異性体の下図として正しいものは、次のうちどれか。
(1) 2 (2) 3 (3) 4 (4) 6 (5) 8
---------
推定正解:2
---------
- 分子軌道法に関する次の記述のうち、正しいものはどれか。
(1) 被占軌道の軌道エネルギーに負号をつけた値は、電子親和力の近似値を与える。
(2) 被占軌遭の軌道エネルギーに負号をつけた値は、第一イオン化ポテンシャルの近似値を与える。
(3) 被占軌道の軌道エネルギーの総和は、分子の厳密な仝電子エネルギーに一致する。
(4) 最高被占軌道は、その分子の電子受容性反応を支配する。
(5) 最低空軌道は、その分子の電了供与性反応を支配する。
---------
推定正解:2
---------
- N2(窒素分子)とO2(酸素分子)の結合次数は、それぞれ、3と2である。また、O2-の結合次数は1.5である。以上から、O2+とO22-の結合次数を推定した上で、結合長の大小関係が正しいものをつぎのうちから選べ。
(1) O2+<O2-<O22-<O2
(2) O22-<O2+<O2<O2-
(3) O2<O2+<O22-<O2-
(4) O2+<O2<O2-<O22-
(5) O22-<O2-<O2<O2+
---------
推定正解:5
---------
- 分子の振動状態に関する次の記述のうち、誤っているものはどれか。
(1) 非常に重い原子と非常に軽い原子の換算質量は、軽い方の原子の質量に近い。
(2) 量子論では、最低エネルギーでも分子の振動は静止することはない、
(3) 分子振動のバネ定数は、原子核の質量とほとんど無関係に決まる。
(4) パネ定数が大きいほど、結合エネルギーも大きい。
(5) 分子にレーザー光を照射することによって、光のエネルギーを振動エネルギーに変換することができる。
---------
推定正解:5
---------
- 水素分子気体の燃焼に関する次の記述のうち、誤っているものはどれか。
(1) 水素分子気体の燃焼反応は連鎖反応である。
(2) 爆発的に反応が進むためには、酸素分子の濃度が一定の比率より高くなくてはならない。
(3) 酸素分子が十分存在しても水素分子の量が十分ないと、爆発的な反応は進行しない。
(4) 燃焼を開始するためには、最初に水素原子を発生させる必要がある。
(5) 反応は2H2+O2→2H2Oのとおりに進行し、これ以外の化学種が反応の途中に生成することはない。
---------
推定正解:5
---------
- 物質の性質に関する次の記述のうち、正しいものはどれか。
(1) 金属において、温度を上げると電気抵抗が大きくなるのは電子間の反発力が増大するためである。
(2) 非理想気体において、温度を上げていくと分子の大きさが無視できなくなる。
(3) 液体の粘度は、分子間引力が大きくなるにつれて小さくなる。
(4) どの単結晶の固体も、一度融解した後、急激に冷やせば再び単結晶に戻る。
(5) グラファイトにおいて、電気抵抗の大きい方向は、そのすぺり面の方向と直交している。
---------
推定正解:5
---------
- エントロピーに関する次の記述のうち、誤っているものはどれか。
(1) 2種類の異なる気体が反応することなく混合すると、ヱントロピーは増加する。
(2) エントロピーと温度は比例する。
(3) エントロピーの減少は自由エネルギーを高くする。
(4) 遷移状態のエントロピーの大きさは、化学反応の速さに大きく影響する。
(5) エントロピーが大きい状態は、小さい状態より偶然に実現する確率が高い。
---------
推定正解:2
---------
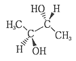
- 次の分子のうちで、光学活性なものはどれか。
---------
推定正解:2
---------
- フェノール、p-ニトロフェ.ノール、p-メトキシフェノールの酸性の強さを正しく表わしているものほどれか。
(1) フェノール>p-ニトロフェノール>p-メトキシフェノール
(2) p-ニトロフェノール>p-メトキシフェノール>フェノール
(3) p-ニトロフェノール>フェノール>p-メトキシフェノール
(4) p-メトキシフェノール>p-ニトロフェノール>フェノール
(5) p-メトキシフェノール>フェノール>p-ニトロフェノール
---------
推定正解:5?
---------
- 0℃、1atmのブタン1.0L[リットル]を完全燃焼させるためには、同温同圧の酸素が最低何L必要か。
(1) 1.0L (2) 3.5L (3) 5.0L (4) 6.5L (5) 13L
---------
推定正解:4
---------
- α-メチルスチレンC6H5(CH3)C=CH2に塩化水素HClを反応させたとき、主に得られる有機化合物の構造式として正しいものはどれか。
---------
推定正解:1
---------
- 芳香族化合物の反応に関する次の記述のうち、正しいものはどれか。
(1) ベンゼンを濃硫酸と濃硝酸の混合物と反応させると、ペンゼンスルホン酸が得られる。
(2) トルエンのニトロ化はベンゼンより速やかに進行し、容易にm-ニトロトルエンが得られる。
(3) クロロベンゼンをニトロ化すると、o-体とp-体が得られm-体はほとんど生成しない。
(4) ニトロベンゼンと臭素との反応はきわめて容易に進行し2,4,6−トリブロモニトロペンゼンが得られる。
(5) ナフタレンをニトロ化すると、1-ニトロナフタレンと2-ニトロナフタレンがほぼ等量得られる。
---------
推定正解:?
---------
- 2-メチル-1-フェニル-2-プロパノール(1)を得るために次のような合成計画を立てた。「エーテル中、化合物Aをマグネシウムと反応させて得られた試薬に、化合物Bを加えて反応させた後、水を加えて(1)を得る。」このとき、(A, B)の組み合わせとして最も適切なものはどれか。

---------
推定正解:5
---------
- 高分子化合物に関する次の記述のうち、誤っているものはどれか。
(1) デンプンは、グルコースが縮合重合しながら長く連なったものであり、分子式(C6H10O5)nで表される。
(2) タンパク質は、主にα-アミノ酸が縮合重合したものであり、多数のペプチド結合をもつ。
(3) メタクリル樹脂は、メタクリル酸メチルを付加重合させてつくられる熱可塑性樹脂である。
(4) フェノール樹脂は、フェノールを付加重合させてつくられる熱硬化性樹脂である。
(5) 天然ゴムの主成分は、イソプレンが付加重合したポリイソプレンであり、分子式(C5H8)nで表される。
---------
推定正解:3
---------