技術士第一次試験 平成16年度 共通科目(化学) 問題と解答
第一次試験過去問題Topへ
- 質量数226のラジウム原子(原子番号88)は、質量数238のウラン原子(原子番号92)が、α壊変(ヘリウム原子咳を放出)を3回、β壊変(電子を放出)をx回起こした結果生成する。xにあてはまる数として正しいのは次のうちどれか。
(1) t (2) 2 (3) 3 (4) 4 (5) 5
---------
正解:2
---------
- 酸化数に関する記述として、誤っているものは次のうちどれか。
(1) 水素原子の酸化数は常に+1である。
(2) 酸素原子の酸化数は−2の場合が多いが、例外もある。
(3) 共有結合では、すべての結合電子対を電気陰性度の大きい方の原子に割り当てたとき、各原子に残る電荷を酸化数とする。
(4) 多原子イオン中の各原子の酸化数の和は、その多原子イオンの電荷と等しい。
(5) 単体中の各原子の酸化数は常にゼロである。
---------
正解:1
---------
- 次の5つの周期表第4周期の原子のうち、3d軌道に電子を10個持っているものはいくつあるか。なお、原子はすべて中性で基底状態にあるとする。
Ca(原子番号20, 2族) Cr (原子番号24, 6族) Fe (原子番号26, 8族)
Zn(原子番号30, 12族) Kr (原子番号36, 18族)
(1) 1つ (2) 2つ (3) 3つ (4) 4つ (5) 5つ
---------
正解:2
---------
- 次の分子のうち、立体構造が直線形であるものはどれか。
(1) H2S (2) SO2 (3) HClO (4) O3 (5) HCN
---------
正解:5
---------
- NH3+H+ ←→ NH4+ における酸・塩基の記述として、誤っているものは次のうちどれか。
(1) H+はルイスの酸である。
(2) NH3はルイスの塩基である。
(3) H+はブレンステッドの酸である。
(4) NH3はブレンステッドの塩基である。
(5) NH3とNH4+は共役の関係にある。
---------
正解:3
---------
- 次に示す化学種のうち、硬い(Hardな)ルイス酸はどれか。
(1) H2O (2) I- (3) OH- (4) Ca2+ (5) Hg2+
---------
正解:4
---------
- 結晶構造に関する次の5つの記述A〜Eにおいて、正しい記述はいくつあるか。
A.六方是密構造における、球の配位数(ひとつの球に隣接する球の数)は12である。
B.立方最密構造における、球の配佐敷は12である。
C.休心立方構造における、球の配佐数は8である。
D.塩化ナトリウム(NaCl)の結晶において、Na+およびCl-の配位数は、ともに6である。
E.塩化セシウム(CsCl)の結晶において、Cs+およびCl-の配位数は、ともに8である。
(1) 1つ (2) 2つ (3) 3つ (4) 4つ (5) 5つ
---------
正解:5
---------
- 電子に関する次の文で、正しいものはどれか。
(1) アボガドロ定数とファラデー定数の積が電気素量である。
(2) 2つの電子の間には、その距離に反比例する反発力が働く。
(3) 電子の質量は、陽子の質量の約1840倍である。
(4) 光電効果は、物質に光が当たったときに表面からイオンが放出される現象である。
(5) 電子のスピンには、上向きと下向きの2種類がある。
---------
正解:5
---------
- 主量子数n=3、方位量子敷l=1で指定される原子の軌道に、最大入りうる電子の数は次のうちどれか。
(1) 2 (2) 4 (3) 6 (4) 8 (5) 10
---------
正解:3
---------
- 分子スペクトルに関する次の記述のうち、誤っているものはどれか。
(1) 水分子の電子スペクトルは、可視領域にあらわれる。
(2) 分子の振動スペクトルは、多くの場合、赤外領域にあらわれる。
(3) 分子の回転スペクトルは、多くの場合、マイクロ波領域にあらわれる。
(4) 共役ポリエンの紫外可視吸収スペクトルは、共役ポリエン鎖の長さの増加とともに長波長側に移動する。
(5) 水酸基やカルボニル基を含む分子は、これらの原子団の振動励起に起因する光吸収を、特定の波長領域にもつ。
---------
正解:1
---------
- 温度一定、体積一定の容器内で、反応A→B→Cが進行する。ここで、A→BおよびB→Cの反応速度定数をそれぞれk1,k2とする。A、B、Cの濃度をそれぞれ[A]、〔B]、[C]とし、[B]が時間とともに変化しないと仮定する。このとき成立する関係式は次のうちどれか。
(1) [C]=k1/k2[A] (2) [C]=k2/k1[A] (3) [B]=k1/k2[A]
(4) [B]=k2/k1[A] (5) [C]=−k1/k2[A]
---------
正解:3
---------
- 物質の性質に関する次の記述のうち、誤っているものはどれか。
(1) ダイヤモンドは絶縁体であるが、熱伝導性は高い。
(2) ダイヤモンドはイオン結晶であり、硬度が高い。
(3) グラファイトは電気伝導性を示す。
(4) 液体の蒸気圧は、温度の上昇とともに高くなる。
(5) 溶液の凝固点は、純溶媒の凝固点より低い。
---------
正解:2
---------
- 一酸化炭素の定圧モル熱容量Cp,mと定積モル熱容量Cv,mのCp,m/Cv,mは300K、1気圧で1.4である。このときCv,mとCp,mの数値の組合せ(Cv,m,Cp,m)として正しいものは次のうちどれか。ただし、一酸化炭素を理想気体として扱ってよいものとし、気体定数Rは8.3JK-1mol-1とする。なお、( )内の数値の単位は、JK-1mol-1である。
(1) (15, 21) (2) (17, 24) (3) (19, 27)
(4) (21, 29) (5) (23, 32)
---------
正解:4
---------
- 有機化合物の物理的性質に関する次の記述のうち、正しいものはどれか。
(1) o-二トロフェノールo-C6H4(OH)(NO2)は分子内水素結合を形成することができるので、相当するp-異性体よりも沸点が高い。
(2) ジエチルエーテルCH3CH2OCH2CH3は水と水素結合を形成できるので、水と自由に混合する。
(3) アセトニトリルCH3CNは分子内の電荷の片寄りが小さいので、非極性溶媒に分類される。
(4) ネオペンタン(CH3)4Cはその異性体であるn-ペンタンCH3(CH2)3CH3よりvan der Waals 力が弱いため沸点が低い。
(5) 四塩化炭素CCl4は大きく分極した4個の結合をもつので、大きな双極子モーメントをもつ。
---------
正解:4
---------
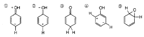
- 共鳴の考え方を用いると、フェノールC6H5OHは主として共鳴構造AおよびBの共鳴混成体として表現される。

次のうちで、フェノールに対してA、B以外に寄与の大きい共鳴構造として最も適切なものはどれか。

---------
正解:1
---------
- 有機化合物の立体化学に関する次の記述のうち、正しいものはどれか。
(1) 2,3-ペンタジエンCH3CH=C=CHCH3では、すべての炭素原子は同一平面上に存在している。
(2) 酒石酸CH(OH)(COOH)CH(OH)(COOH)には2個の不斉炭素原子があるので、4個の立体異性体が存在する。
(3) trans-1,2-ジメチルシクロヘキサンでは、2個のいす形配座異性体の平衡は著しく一方に片寄っている。
(4) メチルエチルケトンをLiAlH4で還元して得られる2-ブタノールの鏡像異性体の生成比は、必ずしも1:1とは限らない。
(5) 2-ブテンCH3CH=CHCH3のシス−トランス異性体では、CH3基間の引力的相互作用によりシス形の方が安定となる。
---------
正解:3
---------
- それぞれについて指示した有機化合物の物性や反応性に関する大小関係として、誤っているものは次のうちどれか。
| (1) |
下線をつけたHの酸性の強さ: |
FCH2COOH > ClCH2COOH |
| (2) |
酸性の強さ: |
HC≡CH > H2C=CH2 |
| (3) |
塩基性の強さ: |
 |
| (4) |
Sμ加水分解速度: |
| (5) |
%2反応速度: |
CH3−Br > (CH3)3C−Br |
---------
正解:3
---------
- 有機化合物Aの構造を決定するために、以下の実験を行った。
「化合物Aは分子式C5H12Oをもち、ナトリウムと反応させると水素が発生した。Aを酸性条件でクロム酸CrO3と反応させると、カルボニル基をもつ化合物が得られたが、この化合物は酸性を示さなかった。」
Aの構造として最も適切なものは次のうちどれか。

---------
正解:2
---------
- トルエンからm-ニトロ安息香酸の合成は、連続した二段階の反応(段階Aおよび段階B)によって達成される。それぞれの段階の反応条件として、最も適切な組合せは次のうちどれか。

|
段階A |
段階B |
| (1) |
HNO3,H2SO4 |
KMnO4 |
| (2) |
MnO2 |
NaNO2,HCl |
| (3) |
KMnO4 |
NaNO2,HCl |
| (4) |
NaNO2,HCl |
MnO2 |
| (5) |
KMnO4 |
HNO3,H2SO4 |
---------
正解:5
---------
- 次の記述のうち、熱硬化性樹脂の特徴を述べたものとして最も適切なものはどれか。
(1) カルボン酸とアミンの縮合重合によって合成されるものが多い。
(2) 鎖次分子間がさらに結合した三次元の網目構造をしている。
(3) 加熱によって自由に成形できるので、容器や玩具に用いられる。
(4) ビニル化合物の付加重合によって合成されるものが多い。
(5) 硫黄を加えて加熱すると鎖状分子間が架橋され、弾性が増大する。
---------
正解:2
---------